Below is a selection of my publications. For my complete publication list, please refer to my CV and Google Scholar.

Carbonate and nutrient dynamics in a Mississippi River influenced eutrophic estuary

He S., Gordon S., Maiti K., 2025. Carbonate and nutrient dynamics in a Mississippi River influenced eutrophic estuary. Estuaries and Coasts. 48, 63. https://doi.org/10.1007/s12237-025-01494-4

Download PDF

Subsurface redox interactions regulate ebullitive methane flux in heterogeneous Mississippi River deltaic wetland

Wang J., O’Meara T., LaFond-Hudson S., He, S., Maiti K., Ward E.J., Sulman B.N., 2024. Subsurface redox interactions regulate ebullitive methane flux in heterogeneous Mississippi River deltaic wetland. Journal of Advances in Modeling Earth Systems. 16, e2023MS003762. https://doi. org/10.1029/2023MS003762

Download PDF

Potential methane production in oligohaline wetlands undergoing erosion and accretion in the Mississippi River Delta Plain, Louisiana, USA

He S., Maiti K., Ghaisas N., Upreti K., Rivera-Monroy V., 2023. Potential methane production in oligohaline wetlands undergoing erosion and accretion in the Mississippi River Delta Plain, Louisiana, USA. Science of the Total Environment, 875, 162685. https://doi.org/10.1016/j.scitotenv.2023.162685

Download PDF

Porewater carbonate chemistry of Louisiana marshes with contrasting salinity - implications for coastal acidification

He S., Maiti K., Swarzenski C.M., Quirk T., Groseclose G.N., Justic D., 2022. Porewater carbonate chemistry of Louisiana marshes with contrasting salinity - implications for coastal acidification. Estuarine, Coastal and Shelf Science, 268, 107801. https://doi.org/10.1016/j.ecss.2022.107801

Download PDF

Freshwater-saltwater mixing effects on dissolved carbon and CO2 outgassing of a coastal river entering the northern Gulf of Mexico

He S., Xu Y.J., 2018. Freshwater-saltwater mixing effects on dissolved carbon and CO2 outgassing of a coastal river entering the northern Gulf of Mexico. Estuaries and Coasts, 41, 734-750. https://doi.org/10.1007/s12237-017-0320-4

Download PDF

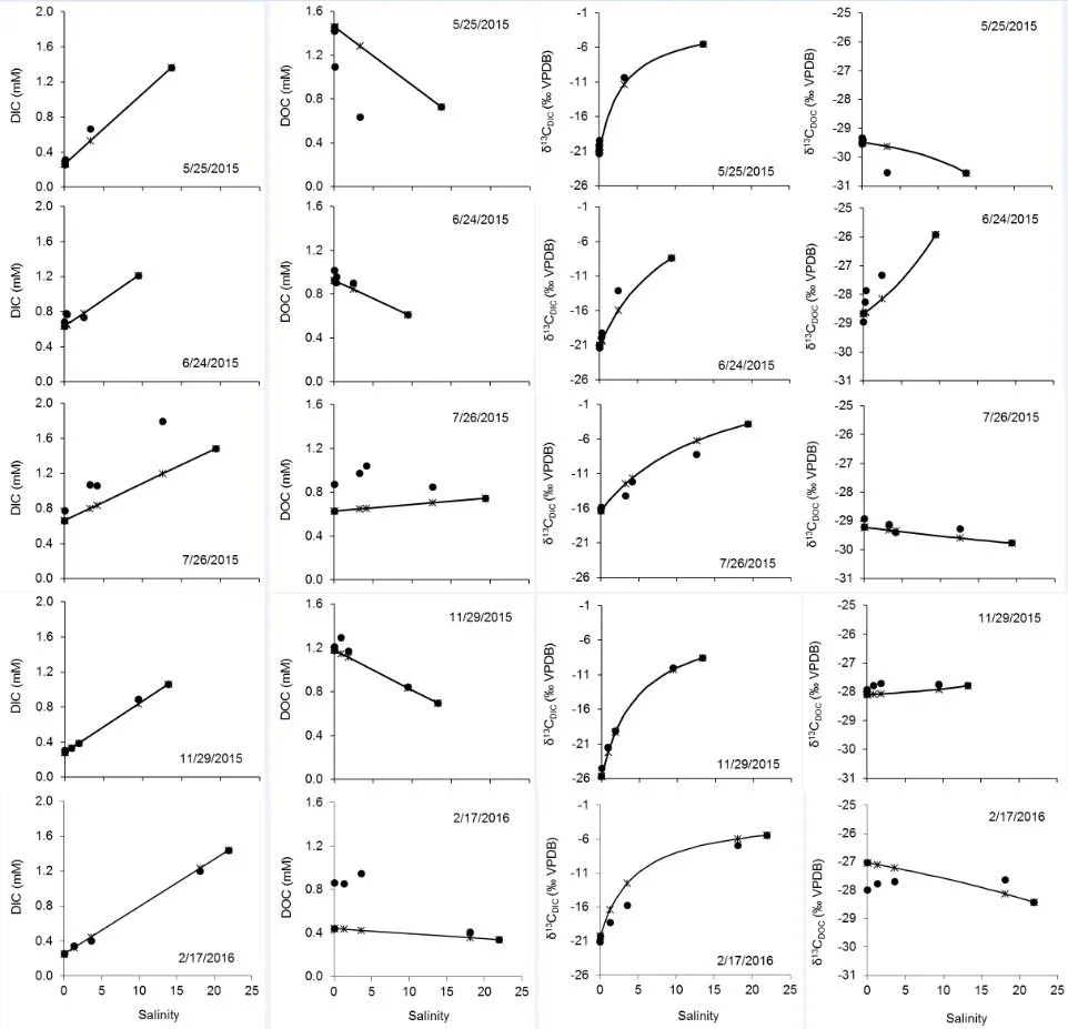
Assessing dissolved carbon transport and transformation along an estuarine river with stable isotope analyses

He S., Xu Y.J., 2017. Assessing dissolved carbon transport and transformation along an estuarine river with stable isotope analyses. Estuarine, Coastal and Shelf Science, 197, 93-106. https://doi.org/10.1016/j.ecss.2017.08.024

Download PDF